2026 PlL & PEOPLE 팬연합 모임 참가명단 및 좌석배치도(최종)
| 작성일 | 2026-03-20 13:32:42 | 조회수 | 455 |
|---|---|---|---|
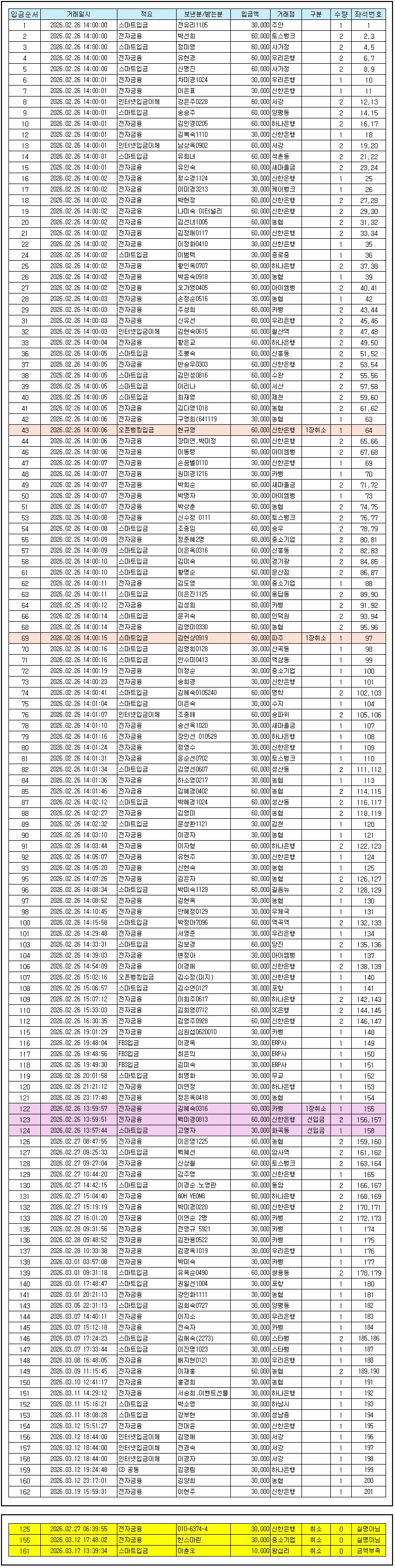
![]() 정식 문화공연장으로 등록 허가를 위한 것이라고 하오니 참석자 분들의 양해를 부탁드립니다. |
|||
| 첨부파일 | |||
| 이전글 | 2026 PIL & PEOPLE 팬연합 모임 경품, 기념품 및 이벤트 내용을 공개합니다..^^ |
|---|---|
| 다음글 | 오빠의 생일을 축하합니다!!! |
| 작성일 | 2026-03-20 13:32:42 | 조회수 | 455 |
|---|---|---|---|
![]() 정식 문화공연장으로 등록 허가를 위한 것이라고 하오니 참석자 분들의 양해를 부탁드립니다. |
|||
| 첨부파일 | |||
| 이전글 | 2026 PIL & PEOPLE 팬연합 모임 경품, 기념품 및 이벤트 내용을 공개합니다..^^ |
|---|---|
| 다음글 | 오빠의 생일을 축하합니다!!! |
댓글0